Directions (1-5): In the following questions, the symbols ©, @, $, % and * are used with the following meanings as illustrated below:
‘P @ Q’ means ‘P is not greater than Q’.
‘P % Q’ means ‘P is not smaller than Q’.
‘P * Q’ means ‘P is neither smaller than nor equal to Q’.
‘P © Q’ means ‘P is neither greater than nor equal to Q’.
‘P $ Q’ means ‘P is neither greater than nor smaller than Q’.
In each question four statements showing relationship have been given, which are followed by four conclusions I, II, III & IV. Assuming that the given statements are true, find out which conclusion(s) is/are definitely true.
Q1. Statements:
M © D, D * K, K @ R, R * F
Conclusions:
I. F © K
II. D * F
III. M © R
IV. D * R
I. F © K ( Not True )
II. D * F ( Not True )
III. M © R ( Not True )
IV. D * R( Not True )
Q2. Statements:
B % K, K $ T, T * F, H © F
Conclusions:
I. B $ T
II. T © B
III. H © K
IV. F © B
I. B $ T ( Not True )
II. T © B ( Not True )
III. H © K ( True )
IV. F © B ( True )
Q3. Statements:
W * B, B @ F, F © R, R $ M
Conclusions:
I. W * F
II. M * B
III. R * B
IV. M * W
I. W * F ( Not True )
II. M * B ( True )
III. R * B ( True )
IV. M * W ( Not True )
Q4. Statements:
E @ K, K $ T, T © N, B % N
Conclusions:
I. T % E
II. K © N
III. B * T
IV. B * E
I. T % E ( True )
II. K © N ( True )
III. B * T ( True )
IV. B * E ( True )
Q5. Statements:
Z $ B, B % M, M © F, F @ R
Conclusions:
I. Z * M
II. F * B
III. R * M
IV. M @ Z
I. Z * M ( Not True )
II. F * B ( Not True )
III. R * M ( True )
IV. M @ Z ( True )
Directions (6-10): In each of the question given below a/an idiom/phrase is given in bold which is then followed by five options which then try to decipher its meaning. Choose the option which gives the correct meaning of the phrases.
Q6. Better late than never
Q7. Cut somebody some slack
Q8. Easy does it
Q9. Get out of hand
Q10. Get something out of your system
Directions (11-15): In each of the following questions two equations are given. Solve the equations and give answer—
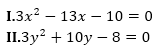
Q11.
x<y
x<y
x<y
x<y
x<y












